Trong tuần, ghi nhận 250 trường hợp phạt nguội
Một trường hợp bị phạt nguội lỗi vượt quá tốc độ.
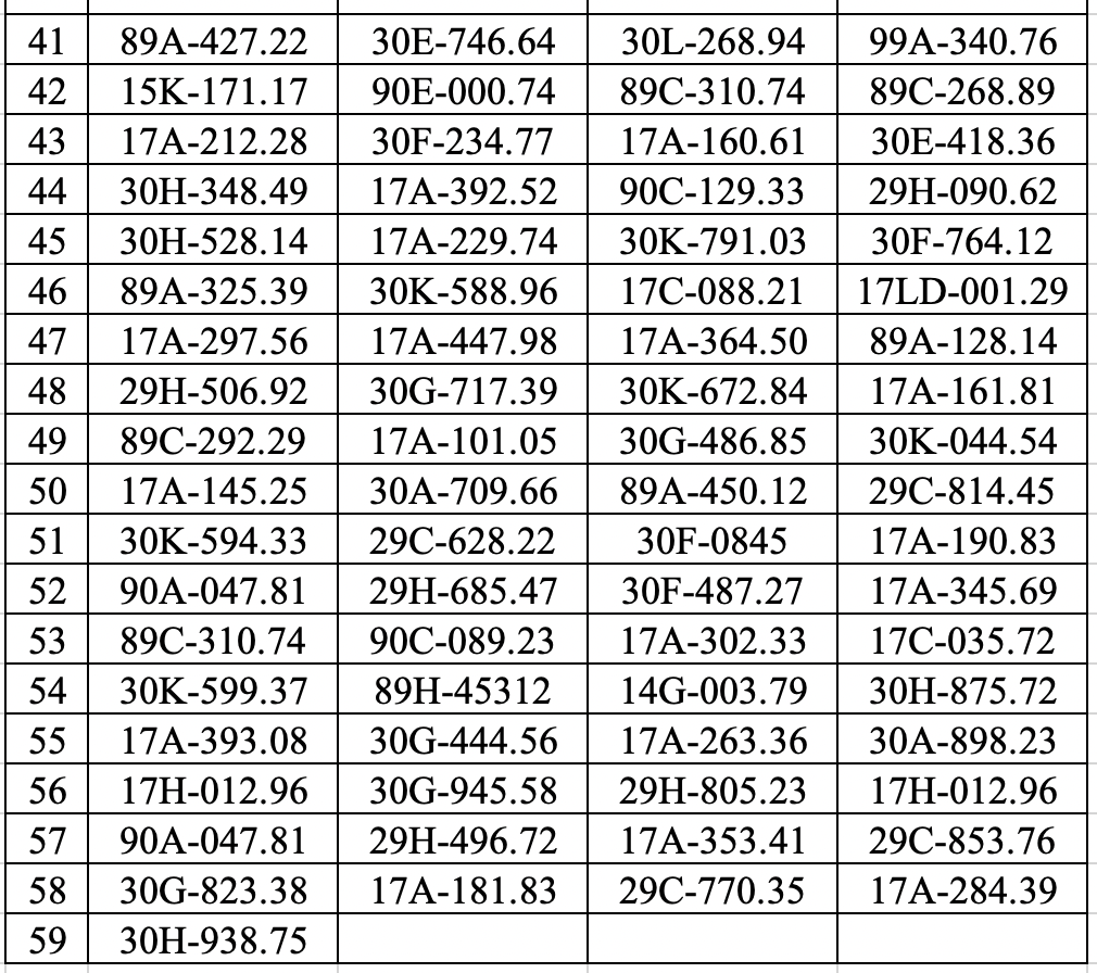
Theo đó, thông qua hệ thống camera giám sát thông minh tại các nút giao thông trọng điểm trên địa bàn tỉnh Thái Bình, lực lượng chức năng đã ghi nhận và xử lý 250 trường hợp vi phạm trật tự an toàn giao thông. Các trường hợp vi phạm giao thông chủ yếu là không chấp hành hiệu lệnh của đèn tín hiệu giao thông, vượt quá tốc độ quy định, không chấp hành hiệu lệnh, chỉ dẫn của biển báo hiệu, vạch kẻ đường. Trong đó, lỗi vượt quá tốc độ chiếm nhiều nhất với 233 trường hợp; lỗi không chấp hành hiệu lệnh của đèn tín hiệu giao thông là 17 trường hợp.
Các trường hợp bị xử phạt nguội lỗi không chấp hành hiệu lệnh của đèn tín hiệu giao thông: 30H-875.72, 17A-339.52, 17A-393.08, 17A-105.52, 30M-9273, 17A-349.76, 17A-394.50, 15K-190.73, 17A-243.67, 17A-358.60, 17A-341.24, 99C-055.11, 14A-642.66, 17A-243.68, 17A-345.87, 88A-256.01, 29F-000.76
Các trường hợp bị xử phạt nguội lỗi vượt quá tốc độ:



Nguyễn Thơi
Tin cùng chuyên mục
- Thái Bình lựa chọn được nhà thầu xây dựng cao tốc Nam Định - Thái Bình với vốn đầu tư 19.784 tỷ đồng 02.05.2025 | 07:17 AM
- Đồng chí Nguyễn Mạnh Hùng, Phó Bí thư Tỉnh ủy, Chủ tịch UBND tỉnh kiểm tra tiến độ thi công tuyến đường vành đai phía Nam thành phố Thái Bình 22.04.2025 | 17:52 PM
- Phiên họp thứ 16 Ban Chỉ đạo nhà nước các công trình, dự án quan trọng quốc gia, trọng điểm ngành giao thông vận tải 09.03.2025 | 18:14 PM
- Trong 5 ngày nghỉ Tết Ất Tỵ, lực lượng CSGT đã xử lý hơn 10.000 trường hợp vi phạm nông độ cồn 31.01.2025 | 01:16 AM
- Trong tuần, ghi nhận 84 trường hợp phạt nguội 14.11.2024 | 15:01 PM
- Trung tâm đăng kiểm 17.01D khôi phục hoạt động từ ngày 1/10 02.10.2024 | 16:00 PM
- Thái Bình: Khôi phục hoạt động giao thông đường thủy, bến khách ngang sông sau lũ 15.09.2024 | 12:12 PM
- Đường sắt, hàng không hủy chuyến hàng loạt 07.09.2024 | 12:43 PM
- Thẩm định báo cáo nghiên cứu khả thi dự án đường cao tốc CT.08, đoạn qua tỉnh Nam Định - Thái Bình 25.07.2024 | 15:15 PM
- Trong tuần, ghi nhận 55 trường hợp phạt nguội 03.07.2024 | 16:34 PM
Xem tin theo ngày
-
Đặc sắc chương trình nghệ thuật kỷ niệm 110 năm ngày sinh Tổng Bí thư Nguyễn Văn Linh và chào mừng hợp nhất tỉnh Hưng Yên và tỉnh Thái Bình
- Chủ tịch Ủy ban Trung ương MTTQ Việt Nam Đỗ Văn Chiến thăm làm việc tại phường Phố Hiến
- Công bố nghị quyết, quyết định của Trung ương, địa phương về sáp nhập đơn vị hành chính cấp tỉnh, cấp xã và kết thúc hoạt động cấp huyện
- Báo Thái Bình - Một hành trình với những mốc son lịch sử
- Thư tòa soạn
- Công bố quyết định của Bộ trưởng Bộ Công an, Giám đốc Công an tỉnh về công tác tổ chức, cán bộ
- Khởi công dự án nhà máy đốt chất thải rắn phát điện công nghệ hiện đại tại xã Thụy Trình
- Khởi công dự án đầu tư xây dựng sân golf Cồn Vành và dự án đầu tư xây dựng khu bến cảng hàng lỏng Ba Lạt
- Việt Nam nâng tầm vị thế tại Hội nghị quốc tế về biển và đại dương
- Hội thảo khoa học: Đồng chí Nguyễn Văn Linh – Nhà lãnh đạo kiên định, sáng tạo của Đảng và cách mạng Việt Nam