Nghị quyết số 53/NQ-HĐND phê duyệt chuyển mục đích sử dụng đất trồng lúa để thực hiện các dự án trên địa bàn tỉnh Thái Bình
Chủ nhật, 24/12/2023 | 13:40:48
15,548 lượt xem
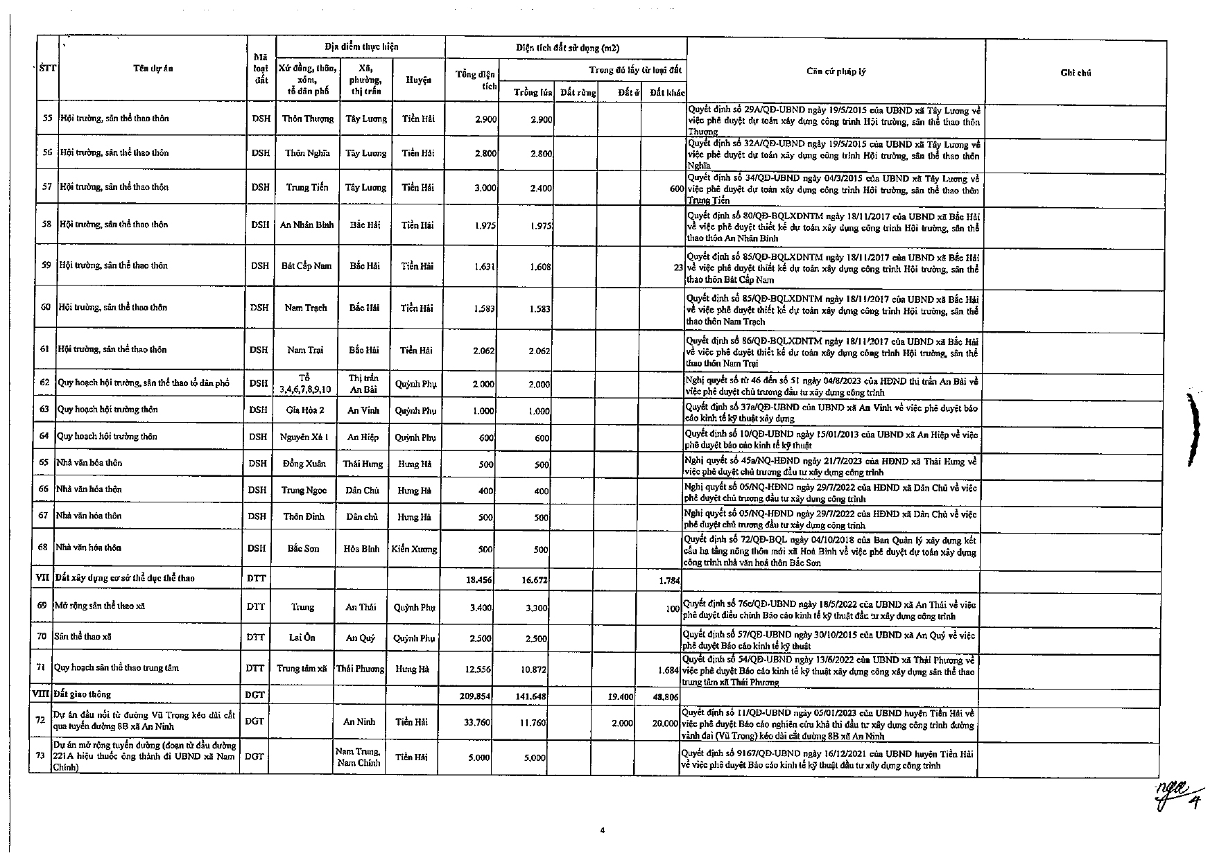
Ảnh minh họa.















Tải thêm
Tin cùng chuyên mục
- Toàn văn: Nghị quyết số 57-NQ/TW về đột phá phát triển khoa học, công nghệ, đổi mới sáng tạo và chuyển đổi số quốc gia 13.01.2025 | 10:08 AM
- Tăng cường công tác lấy nước đổ ải phục vụ gieo cấy lúa Xuân năm 2025 09.01.2025 | 19:04 PM
- Công điện khẩn số 23 của Ban Chỉ huy PCTT và TKCN tỉnh điện Ban Chỉ huy PCTT và TKCN các cấp, các ngành 18.09.2024 | 11:29 AM
- Thông báo khu vực cấm biển trong diễn tập có bắn đạn thật của Trung đoàn bộ binh 8/Sư đoàn 395/Quân khu 3 13.09.2024 | 15:57 PM
- Công điện số 18 của Ban Chỉ huy PCTT và TKCN tỉnh điện Ban Chỉ huy PCTT và TKCN các cấp, các ngành 13.09.2024 | 10:36 AM
- Tăng cường công tác vận hành, điều tiết hồ chứa thủy điện, đảm bảo an toàn hệ thống đê 12.09.2024 | 18:21 PM
- Công điện khẩn số 14 của Ban Chỉ huy PCTT và TKCN tỉnh điện Ban Chỉ huy PCTT và TKCN các cấp, các ngành 10.09.2024 | 08:12 AM
- Công điện khẩn số 11/CĐ-PCTT ngày 5/9/2024 của Ban Chỉ huy PCTT và TKCN tỉnh Thái Bình điện Ban Chỉ huy PCTT và TKCN các cấp, các ngành 05.09.2024 | 19:05 PM
- Công điện khẩn số 10 của Ban chỉ huy PCTT và TKCN tỉnh Thái Bình điện Ban chỉ huy PCTT và TKCN các cấp, các ngành 03.09.2024 | 22:24 PM
- Công điện khẩn số 03/CĐ-PCTT, hồi 7 giờ 00' ngày 20/7/2024 của Ban Chỉ huy Phòng, chống thiên tai và Tìm kiếm cứu nạn tỉnh Thái Bình 21.07.2024 | 07:47 AM
Xem tin theo ngày
-
Đặc sắc chương trình nghệ thuật kỷ niệm 110 năm ngày sinh Tổng Bí thư Nguyễn Văn Linh và chào mừng hợp nhất tỉnh Hưng Yên và tỉnh Thái Bình
- Chủ tịch Ủy ban Trung ương MTTQ Việt Nam Đỗ Văn Chiến thăm làm việc tại phường Phố Hiến
- Công bố nghị quyết, quyết định của Trung ương, địa phương về sáp nhập đơn vị hành chính cấp tỉnh, cấp xã và kết thúc hoạt động cấp huyện
- Báo Thái Bình - Một hành trình với những mốc son lịch sử
- Thư tòa soạn
- Công bố quyết định của Bộ trưởng Bộ Công an, Giám đốc Công an tỉnh về công tác tổ chức, cán bộ
- Khởi công dự án nhà máy đốt chất thải rắn phát điện công nghệ hiện đại tại xã Thụy Trình
- Khởi công dự án đầu tư xây dựng sân golf Cồn Vành và dự án đầu tư xây dựng khu bến cảng hàng lỏng Ba Lạt
- Việt Nam nâng tầm vị thế tại Hội nghị quốc tế về biển và đại dương
- Hội thảo khoa học: Đồng chí Nguyễn Văn Linh – Nhà lãnh đạo kiên định, sáng tạo của Đảng và cách mạng Việt Nam